Define Your Product Before You Design
Startups are often founded on a new technology that
promises significant improvement to the state of the
art. Yet too often the founders, while pioneers and leading experts in
a new technology, could benefit from expertise in the field where that
technology will be applied so that they can define their product. As an
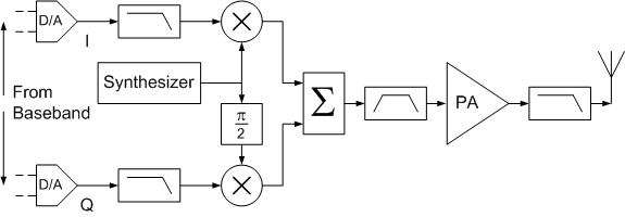
example, let's consider a
power amplifier (PA) designed for the WiFi
transmitter in the
simplified block diagram below.
Typical WiFi Transmitter Block Diagram
The requirements for a WiFi radio are defined in the IEEE 802.11
standard.
One key transmitter requirement is the constellation error,
essentially the error-vector magnitude (EVM) expressed in dB. When
transmitting at 54 Mbps, the RMS deviation from the ideal constellation
points
must be at least 25 dB below the RMS carrier level. This drives
requirements for the transmitter components, including a linearity
requirement for the PA.
Because the PA compresses as the output power increases, the
shape of the output signal does not perfectly follow that of the input
signal,
leading to errors in the constellation. This is shown in the
simulation below.
Simulated 54 Mbps WiFi Constellation
The red constellation points deviate from the ideal (blue)
constellation points due to an amplifier
that compresses as the input signal increases. This is a
real-world issue for any amplifier but especially in a mobile
device such as a lap top or smart
phone, where low power consumption is a must. Because the power
consumption of an amplifier generally increases
with linearity, the linearity margin is kept as low as possible.
An amplifier manufacturer might apply the -25 dB constellation
error requirement directly to the PA. This is a
grievous mistake.
The PA is not the only contributor to constellation error. There is also
- Degradation from the mixers (by their nature
not linear components)
- Quantization noise from the digital to analog converters
(D/A)
- Phase noise from the synthesizer
- IQ amplitude and phase imbalance
The linearity requirement of each component should be derived from
a budget for the entire transmitter that considers degradation
due to
all
components and allocates a portion of the permitted -25 dB error to
each one. Typically, the PA in this example would have to meet a
constellation error of less than -31 dB.
Similar considerations apply to all of the other requirements,
including
transmitter specifications such as
- Spurious emissions
- Spectrum mask
- Frequency accuracy
- Spectral flatness
and receiver specifications such as
- Sensitivity
- Out of band rejection
- Maximum input level
Starting from proper specifications is just as important as executing a
good design, but deriving a component's specifications requires a
different skill set, including systems engineering
and simulation. This is often difficult for emerging
companies with a core competence centered on a specific technology,
but it should not be neglected.
Advantage
Starting a design with proper specifications
- Saves time
- Saves money
- Results in products that the market actually wants
If you do not have the tools and know-how ... just call CustomRF.
About
CustomRF
CustomRF was founded in 2003. Our customers range from small to mid
sized companies, early stage to well established, whom we have helped
design new products and improve and trouble shoot existing ones.
Current and past customers include
- AES Intellinet
- Bandspeed
- C & C Technologies
- Finish Line Product Development
- Maguffin Microwave
- octoScope
- Philips Semiconductor
| Heinz
Bachmann is now the sole owner of CustomRF. He has more
than 20 years of technical, marketing and management
experience in the analog, RF and microwave arena. His expertise
is in concept development, systems architecture and analysis,
and simulation and hardware design. Before founding CustomRF he was
employed in engineering, marketing and management functions at Philips
Semiconductor, Systemonic, Raytheon, Advanced TechCom and GTE. He
received his Diploma in Electrical Engineering from the ETH (Federal
Institute of Technology), Zürich, Switzerland. |
|
 |
If you do not wish to receive any further
newsletters from CustomRF, send an Email to
unsubscribe@customrf.com.
CustomRF | 9042 Albaugh Road | New Windsor | MD |
21776 | 978.793.1518
| www.customrf.com